เปิดข้อสอบคณิตศาสตร์ คัดนักเรียนเข้า ม.1 โรงเรียนสวนกุหลาบ กับโจทย์โคตรหินที่ผู้ใหญ่จริง ๆ เห็นยังทำไม่ได้ ด้านเพจคณิตศาสตร์เองยังบ่นว่าต้องรู้คณิตศาสตร์ขั้นสูงอย่าง Euler’s summation formula ถึงจะแก้โจทย์นี้ได้ ในขณะนี้หลายคอมเมนต์มาเผย ออกโจทย์ยากขนาดนี้ ต้องการอะไรกันแน่
การศึกษาคือรากฐานที่นำไปสู่ความสำเร็จในอนาคต ซึ่งโรงเรียนดี ๆ ที่มีชื่อเสียงมาก ๆ ก็มักจะมาพร้อมกับการเรียนการสอนที่เข้มข้น และอัตราการสอบเข้าที่คัดเฉพาะคนเก่ง ๆ เท่านั้น อันเป็นผลให้ข้อสอบยากขึ้นไปเป็นเท่าตัว
ล่าสุด เฟซบุ๊ก Math meme ได้เผยข้อสอบวิชาคณิตศาสตร์ที่คัดนักเรียนเข้า ม.1 ของโรงเรียนสวนกุหลาบ ที่ถ้าเห็นแล้วต้องกุมขมับ และเพจเองก็ยอมรับว่าข้อสอบสมัยนี้ยากจริง การจะหาค่า B ในโจทย์ได้ ต้องรู้จักสูตร Euler’s summation fomula ด้วย ออกข้อสอบแบบนี้ เกินไปจริง ๆ
ในขณะที่เฟซบุ๊ก ก็ได้เผยข้อความว่า ตอนนี้ต้องยอมรับว่าเด็กไทยเรียนเลขกันโหดมาก และเลขที่ว่านั้น ดูยากกว่าสมัยที่ตนเรียนมัธยมอีก แต่ก่อนตอนที่ตนไปต่อมัธยมปลายที่นิวซีแลนด์ เมื่อ 30 ปีก่อน ตนไม่ต้องเรียนเลขอะไรเลยจนถึง ม.6 เลขที่เรียนจนถึง ม.4 ที่ไทย สามารถเอาไปใช้ได้เลย
การศึกษาของไทยและนิวซีแลนด์ มีข้อแตกต่างคือ ที่ไทยจะห้ามนักเรียนใช้เครื่องคิดเลข แต่ที่นิวซีแลนด์ นักเรียนทุกคนต้องพกเครื่องคิดเลขติดตัวและต้องใช้ให้คล่อง ที่นั่นจะไม่เน้นคิดเลขเร็ว แต่จะเน้นให้เข้าใจวิธีการแก้โจทย์ เข้าใจตรรกะ ฝึกคิดตามตรรกะ แล้วค่อยไปกดเครื่องคิดเลขออกมา
![ข้อสอบคัดเข้า ม.1 สวนกุหลาบ ข้อสอบคัดเข้า ม.1 สวนกุหลาบ]()
ภาพจาก Krit Nimwichaikul
การเรียน ม.ปลาย ที่นิวซีแลนด์ จะเป็นการเรียนตามวิชาที่สนใจ ไม่มีการแบ่งสาย อย่างตนเรียนสายวิทย์ก็เลือกเรียนแค่ฟิสิกส์กับเคมี เพราะตนไม่ชอบชีววิทยาที่ต้องท่องจำสัตว์เผ่าพันธุ์ต่าง ๆ หรือสัตว์ที่โดนดองในกระปุก วิชาอื่นที่เลือกเรียนก็มี เช่น เศรษฐศาสตร์ บัญชี ภูมิศาสตร์ ประวัติศาสตร์ และนี่ทำให้เราเวลาเราไปเจอฝรั่ง เรามักจะได้เห็นมุมมองที่หลากหลาย และสรุปปัญหาเรื่องใหม่ ๆ ได้ดี เพราะถูกเทรนมาให้มองได้หลายมุม
![ข้อสอบคัดเข้า ม.1 สวนกุหลาบ ข้อสอบคัดเข้า ม.1 สวนกุหลาบ]()
ภาพจาก Warong Wanishkupalangkul
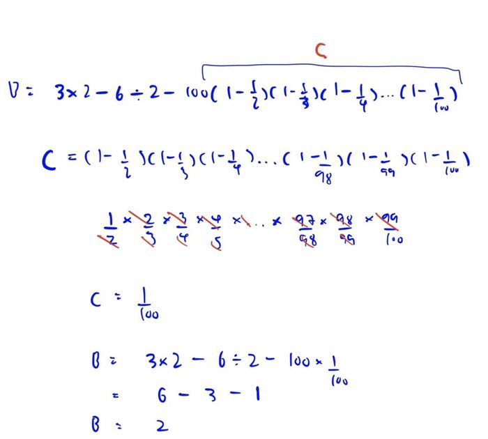
อย่างไรก็ตาม ได้มีคนเข้ามาบอกว่า จริง ๆ แล้วโจทย์นี้ไม่ได้ยากเกินไป แค่เป็นโจทย์ยาวและเด็กเห็นแล้วอาจจะตกใจ แต่วิธีการแก้โจทย์นั้นล้วนแต่เป็นการใช้คณิตศาสตร์ขั้นพื้นฐานที่เรียนมาแล้วในช่วงประถมศึกษา เป็นการวัดความรู้ความเข้าใจในเรื่องเศษส่วน พจน์ และเลขอนุกรม และลำดับการแก้โจทย์ในวงเล็บเท่านั้น การที่ออกข้อสอบแบบนี้ ก็เพื่อวัดเด็กที่เก่งเรื่องตรรกะกับเด็กที่เรียนได้ปกติออก เป็นการวัดไหวพริบเรื่องการสังเกตของเด็ก และคัดเอาเด็กที่ผวากับโจทย์คณิตศาสตร์ยาว ๆ ออกไปก่อน
ในส่วนของการแก้โจทย์ มีดังต่อไปนี้ และคำตอบที่ถูกต้องคือ ง. 7 1/2
![ข้อสอบคัดเข้า ม.1 สวนกุหลาบ ข้อสอบคัดเข้า ม.1 สวนกุหลาบ]()
![ข้อสอบคัดเข้า ม.1 สวนกุหลาบ ข้อสอบคัดเข้า ม.1 สวนกุหลาบ]()
![ข้อสอบคัดเข้า ม.1 สวนกุหลาบ ข้อสอบคัดเข้า ม.1 สวนกุหลาบ]()
ภาพจาก Rungkh / shutterstock.com
การศึกษาคือรากฐานที่นำไปสู่ความสำเร็จในอนาคต ซึ่งโรงเรียนดี ๆ ที่มีชื่อเสียงมาก ๆ ก็มักจะมาพร้อมกับการเรียนการสอนที่เข้มข้น และอัตราการสอบเข้าที่คัดเฉพาะคนเก่ง ๆ เท่านั้น อันเป็นผลให้ข้อสอบยากขึ้นไปเป็นเท่าตัว
ล่าสุด เฟซบุ๊ก Math meme ได้เผยข้อสอบวิชาคณิตศาสตร์ที่คัดนักเรียนเข้า ม.1 ของโรงเรียนสวนกุหลาบ ที่ถ้าเห็นแล้วต้องกุมขมับ และเพจเองก็ยอมรับว่าข้อสอบสมัยนี้ยากจริง การจะหาค่า B ในโจทย์ได้ ต้องรู้จักสูตร Euler’s summation fomula ด้วย ออกข้อสอบแบบนี้ เกินไปจริง ๆ
ภาพจาก meme math
ในขณะที่เฟซบุ๊ก ก็ได้เผยข้อความว่า ตอนนี้ต้องยอมรับว่าเด็กไทยเรียนเลขกันโหดมาก และเลขที่ว่านั้น ดูยากกว่าสมัยที่ตนเรียนมัธยมอีก แต่ก่อนตอนที่ตนไปต่อมัธยมปลายที่นิวซีแลนด์ เมื่อ 30 ปีก่อน ตนไม่ต้องเรียนเลขอะไรเลยจนถึง ม.6 เลขที่เรียนจนถึง ม.4 ที่ไทย สามารถเอาไปใช้ได้เลย
การศึกษาของไทยและนิวซีแลนด์ มีข้อแตกต่างคือ ที่ไทยจะห้ามนักเรียนใช้เครื่องคิดเลข แต่ที่นิวซีแลนด์ นักเรียนทุกคนต้องพกเครื่องคิดเลขติดตัวและต้องใช้ให้คล่อง ที่นั่นจะไม่เน้นคิดเลขเร็ว แต่จะเน้นให้เข้าใจวิธีการแก้โจทย์ เข้าใจตรรกะ ฝึกคิดตามตรรกะ แล้วค่อยไปกดเครื่องคิดเลขออกมา

ภาพจาก Krit Nimwichaikul
การเรียน ม.ปลาย ที่นิวซีแลนด์ จะเป็นการเรียนตามวิชาที่สนใจ ไม่มีการแบ่งสาย อย่างตนเรียนสายวิทย์ก็เลือกเรียนแค่ฟิสิกส์กับเคมี เพราะตนไม่ชอบชีววิทยาที่ต้องท่องจำสัตว์เผ่าพันธุ์ต่าง ๆ หรือสัตว์ที่โดนดองในกระปุก วิชาอื่นที่เลือกเรียนก็มี เช่น เศรษฐศาสตร์ บัญชี ภูมิศาสตร์ ประวัติศาสตร์ และนี่ทำให้เราเวลาเราไปเจอฝรั่ง เรามักจะได้เห็นมุมมองที่หลากหลาย และสรุปปัญหาเรื่องใหม่ ๆ ได้ดี เพราะถูกเทรนมาให้มองได้หลายมุม

ภาพจาก Warong Wanishkupalangkul
ชาวเน็ตมาร่วมแก้โจทย์คณิต ม.1 สวนกุหลาบ จริง ๆ ไม่ยาก แค่โจทย์ยาวเฉย ๆ พร้อมเฉลยคำตอบที่ถูก
อย่างไรก็ตาม ได้มีคนเข้ามาบอกว่า จริง ๆ แล้วโจทย์นี้ไม่ได้ยากเกินไป แค่เป็นโจทย์ยาวและเด็กเห็นแล้วอาจจะตกใจ แต่วิธีการแก้โจทย์นั้นล้วนแต่เป็นการใช้คณิตศาสตร์ขั้นพื้นฐานที่เรียนมาแล้วในช่วงประถมศึกษา เป็นการวัดความรู้ความเข้าใจในเรื่องเศษส่วน พจน์ และเลขอนุกรม และลำดับการแก้โจทย์ในวงเล็บเท่านั้น การที่ออกข้อสอบแบบนี้ ก็เพื่อวัดเด็กที่เก่งเรื่องตรรกะกับเด็กที่เรียนได้ปกติออก เป็นการวัดไหวพริบเรื่องการสังเกตของเด็ก และคัดเอาเด็กที่ผวากับโจทย์คณิตศาสตร์ยาว ๆ ออกไปก่อน
ในส่วนของการแก้โจทย์ มีดังต่อไปนี้ และคำตอบที่ถูกต้องคือ ง. 7 1/2









