
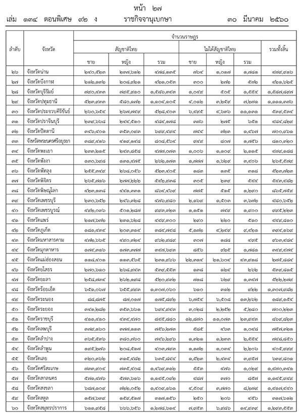
เมื่อวันที่ 30 มีนาคม 2560 เว็บไซต์ราชกิจจานุเบกษา เผยแพร่ประกาศสำนักทะเบียนกลางเรื่อง จำนวนราษฎรทั่วราชอาณาจักร ตามหลักฐานการทะเบียนราษฎรอาศัยอำนาจตามความในมาตรา 45 แห่งพระราชบัญญัติการทะเบียนราษฎร พ.ศ. 2534 ผู้อำนวยการทะเบียนกลาง ประกาศจำนวนราษฎรทั่วราชอาณาจักรตามหลักฐานการทะเบียนราษฎร ณ วันที่ 31 ธันวาคม พ.ศ. 2559 แยกเป็นกรุงเทพมหานคร และจังหวัดต่าง ๆ
โดยพบว่าจำนวนประชากรทั่วประเทศเฉพาะที่มีสัญชาติไทยมีจำนวน 65,096,905 คน แบ่งเป็นหญิง 33,173,119 คน ชาย 31,923,786 คน ประชากรหญิงมากกว่าชาย 1,249,333 คน
ทั้งนี้ จังหวัดที่มีประชากรมากที่สุดได้แก่ กรุงเทพมหานคร คือ 5,592,075 คน เป็นผู้ชาย 2,635,431 คน และเป็นผู้หญิง 2,956,644 คน
ส่วนจังหวัดที่มีประชากรน้อยที่สุด ได้แก่ จังหวัดระนอง คือ 189,154 คน เป็นผู้ชาย 88,875 คน และเป็นผู้หญิง 87,017 คน โดยจังหวัดที่จำนวนประชากรไม่ถึง 200,000 คน อีกจังหวัดหนึ่งคือ จังหวัดสมุทรสงคราม คือ 192,572 คน
นอกจากนี้ ในประกาศดังกล่าวยังได้ระบุประชากรที่ยังไม่ได้สัญชาติไทยอีกจำนวน 834,645 คน







