
ประกาศจำนวนประชากรไทยปี 2558 พุ่ง 65 ล้านคน กทม. ครองแชมป์ประชากรเยอะสุด ส่วนจังหวัดที่ประชากรน้อยสุดคือ ระนอง
เมื่อวันที่ 25 กุมภาพันธ์ 2559 เว็บไซต์ราชกิจจานุเบกษา ได้มีประกาศจากสำนักทะเบียนกลางเรื่อง จํานวนราษฎรทั่วราชอาณาจักร ตามหลักฐานการทะเบียนราษฎร ณ วันที่ 31 ธันวาคม 2558 โดย ประชากรทั่วประเทศ ทั้งที่ถือสัญชาติไทยและไม่ได้ถือสัญชาติไทย มีทั้งหมดรวม 65,729,098 คน
สำหรับประชากรทั้งหมดที่มีการถือสัญชาติไทยนั้นมีทั้งหมด 64,930,085 คน แบ่งเป็น
- ชาย จำนวน 31,865,175 คน
- หญิง จำนวน 33,064,910 คน
โดยกรุงเทพมหานคร มีประชากรที่ถือสัญชาติไทย ทั้งหมด 5,605,672 คน แบ่งเป็น
- ชาย จำนวน 2,644,800 คน
- หญิง จำนวน 2,960,872 คน
ในส่วนของจังหวัดที่มีประชากรมากที่สุด คือ กรุงเทพมหานคร ที่มีจำนวนประชากรทั้งถือสัญชาติไทย และไม่ถือสัญชาติไทยรวม 5,696,409 คน และจังหวัดที่ประชากรน้อยที่สุดคือ จังหวัดระนอง มีประชากรทั้งถือสัญชาติไทย และไม่ถือสัญชาติไทยรวม 187,536 คน
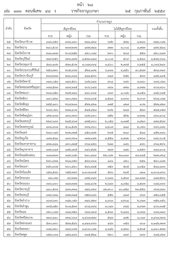
สำหรับรายละเอียดทั้งหมดมีดังนี้



ภาพจาก 1000 Words / Shutterstock.com
อ่านรายละเอียดเพิ่มเติมจาก เว็บไซต์ราชกิจจานุเบกษา






